Официальное опубликование правовых актов
ОФИЦИАЛЬНОЕ ОПУБЛИКОВАНИЕ
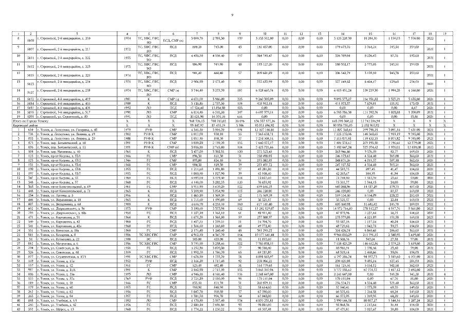
Приказ Департамента ЖКХ и государственного жилищного надзора Томской области от 19.10.2022 № 50
"О внесении изменения в приказ Департамента ЖКХ и государственного жилищного надзора Томской области от 02.04.2019 № 20"
Номер опубликования: 7001202210190007
Дата опубликования: 19.10.2022
Страница №9 из 82:
Увеличить