Официальное опубликование правовых актов
ОФИЦИАЛЬНОЕ ОПУБЛИКОВАНИЕ
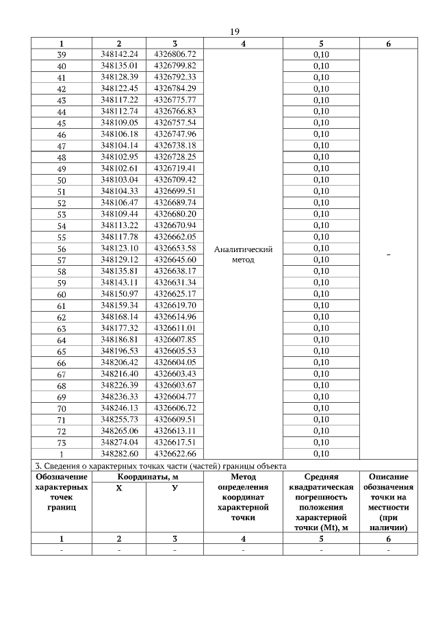
Приказ Департамента природных ресурсов и охраны окружающей среды Томской области от 16.06.2022 № 131
"Об установлении границ и режима зоны санитарной охраны скважины № Т-0471, используемой для целей питьевого и хозяйственно-бытового водоснабжения (г. Томск, Кирова проспект, д. 51а)"
Номер опубликования: 7001202206170004
Дата опубликования: 17.06.2022
Страница №19 из 21:
Увеличить