Официальное опубликование правовых актов
ОФИЦИАЛЬНОЕ ОПУБЛИКОВАНИЕ
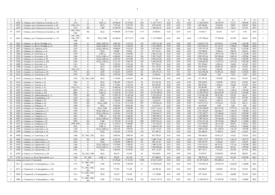
Приказ Департамента ЖКХ и государственного жилищного надзора Томской области от 28.04.2022 № 32
"О внесении изменения в приказ Департамента ЖКХ и государственного жилищного надзора Томской области от 02.04.2019 № 20"
Номер опубликования: 7001202204290013
Дата опубликования: 29.04.2022
Страница №8 из 79:
Увеличить