Официальное опубликование правовых актов
ОФИЦИАЛЬНОЕ ОПУБЛИКОВАНИЕ
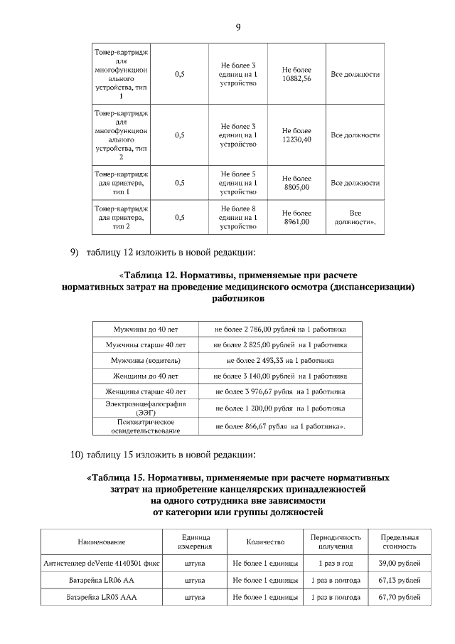
Приказ Департамента здравоохранения Томской области от 21.02.2022 № 5
"О внесении изменений в приказ Департамента здравоохранения Томской области от 24.03.2021 № 18"
Номер опубликования: 7001202202220006
Дата опубликования: 22.02.2022
Страница №9 из 20:
Увеличить