Официальное опубликование правовых актов
ОФИЦИАЛЬНОЕ ОПУБЛИКОВАНИЕ
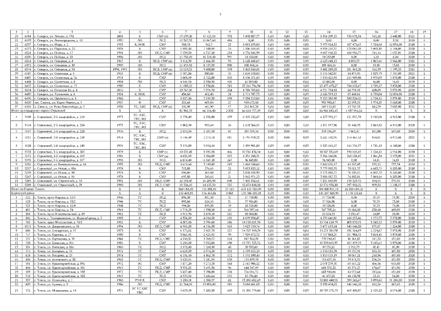
Приказ Департамента ЖКХ и государственного жилищного надзора Томской области от 29.12.2021 № 43
"О внесении изменения в приказ Департамента ЖКХ и государственного жилищного надзора Томской области от 02.04.2019 № 20"
Номер опубликования: 7001202112290016
Дата опубликования: 29.12.2021
Страница №3 из 77:
Увеличить