Официальное опубликование правовых актов
ОФИЦИАЛЬНОЕ ОПУБЛИКОВАНИЕ
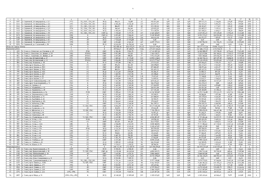
Приказ Департамента ЖКХ и государственного жилищного надзора Томской области от 30.11.2021 № 35
О внесении изменения в приказ Департамента ЖКХ и государственного жилищного надзора Томской области от 02.04.2019 № 20
Номер опубликования: 7001202111300003
Дата опубликования: 30.11.2021
Страница №8 из 66:
Увеличить