Официальное опубликование правовых актов
ОФИЦИАЛЬНОЕ ОПУБЛИКОВАНИЕ
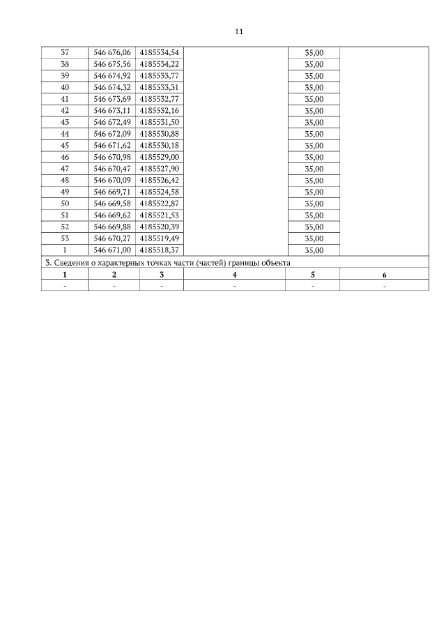
Приказ Департамента природных ресурсов и охраны окружающей среды Томской области от 27.10.2021 № 145
"О внесении изменения в приказ Департамента природных ресурсов и охраны окружающей среды Томской области от 15.03.2021 № 49"
Номер опубликования: 7001202110270003
Дата опубликования: 27.10.2021
Страница №11 из 24:
Увеличить