Официальное опубликование правовых актов
ОФИЦИАЛЬНОЕ ОПУБЛИКОВАНИЕ
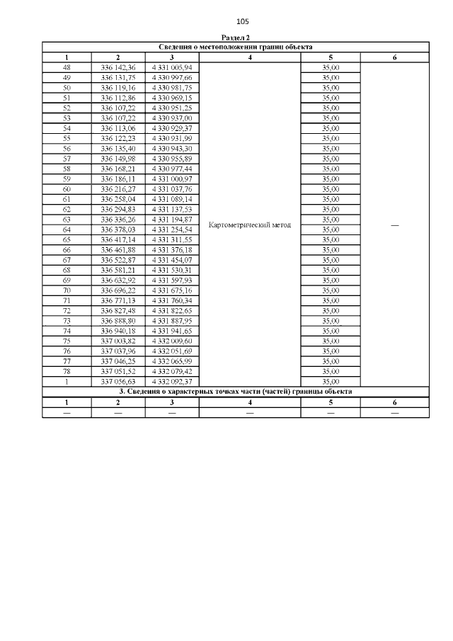
Приказ Департамента природных ресурсов и охраны окружающей среды Томской области от 22.10.2021 № 140
"О внесении изменения в приказ Департамента природных ресурсов и охраны окружающей среды Томской области от 03.06.2019 № 80"
Номер опубликования: 7001202110260009
Дата опубликования: 26.10.2021
Страница №105 из 130:
Увеличить