Официальное опубликование правовых актов
ОФИЦИАЛЬНОЕ ОПУБЛИКОВАНИЕ
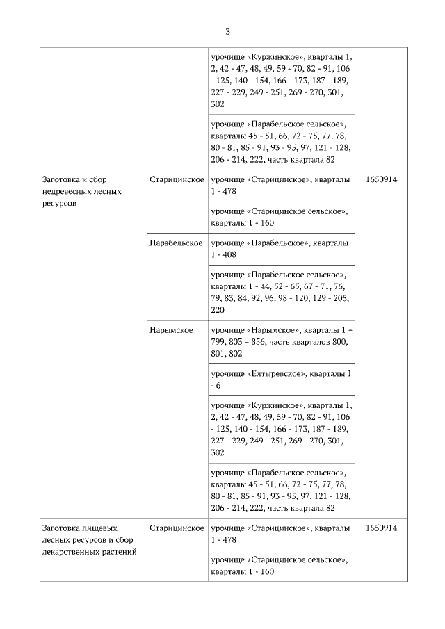
Приказ Департамента лесного хозяйства Томской области от 28.07.2021 № 38
"О внесении изменений в лесохозяйственный регламент Парабельского лесничества Томской области"
Номер опубликования: 7001202107290009
Дата опубликования: 29.07.2021
Страница №3 из 15:
Увеличить