Официальное опубликование правовых актов
ОФИЦИАЛЬНОЕ ОПУБЛИКОВАНИЕ
Приказ Департамента тарифного регулирования Томской области от 25.02.2020 № 1-19
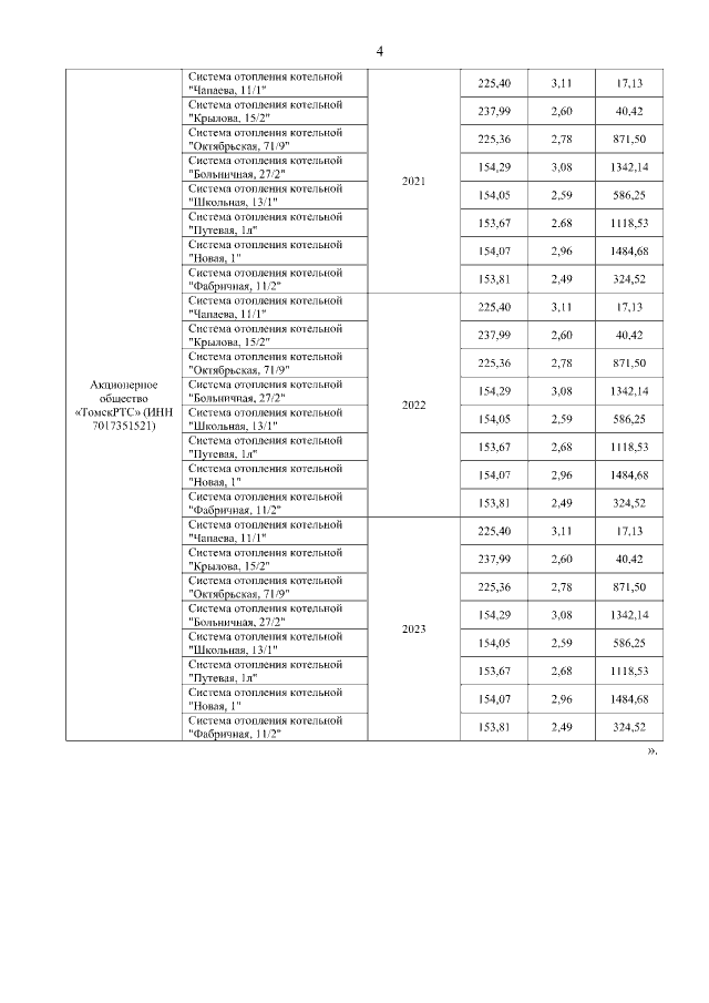
"О внесении изменения в приказ Департамента тарифного регулирования Томской области от 27.12.2018 № 1-427/9(724) "Об установлении долгосрочных параметров регулирования и тарифов на тепловую энергию теплоснабжающей организации Акционерное общество "ТомскРТС" (ИНН 7017351521) на 2019-2023 годы"
Номер опубликования: 7001202002270002
Дата опубликования: 27.02.2020
Страница №4 из 4:
Увеличить