Официальное опубликование правовых актов
ОФИЦИАЛЬНОЕ ОПУБЛИКОВАНИЕ
Приказ Департамента общего образования Томской области от 13.06.2019 № 4
"О внесении изменений в приказ Департамента общего образования Томской области от 01.03.2019 № 2"
Номер опубликования: 7001201906170004
Дата опубликования: 17.06.2019
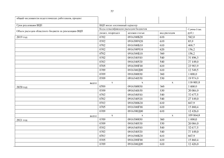
Страница №77 из 92:
Увеличить