Официальное опубликование правовых актов
ОФИЦИАЛЬНОЕ ОПУБЛИКОВАНИЕ
Приказ Департамента здравоохранения Томской области от 26.04.2019 № 18
"О внесении изменения в приказ Департамента здравоохранения Томской области от 31.03.2016 № 27"
Номер опубликования: 7001201904300001
Дата опубликования: 30.04.2019
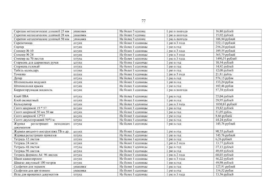
Страница №77 из 81:
Увеличить