Официальное опубликование правовых актов
ОФИЦИАЛЬНОЕ ОПУБЛИКОВАНИЕ
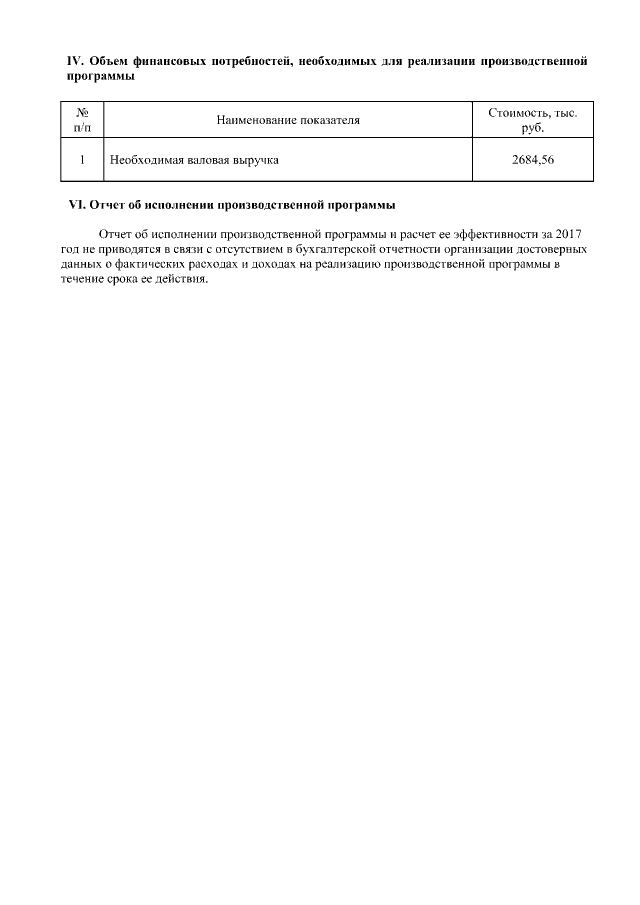
Приказ Департамента тарифного регулирования Томской области от 06.12.2018 № 5-765/9(426)
"Об утверждении производственной программы и установлении тарифов организации Общество с ограниченной ответственностью Управляющая Компания "Северо-Восточный Комплекс" (ИНН 7017215078) в сфере водоотведения"
Номер опубликования: 7001201812140027
Дата опубликования: 14.12.2018
Страница №3 из 4:
Увеличить