Официальное опубликование правовых актов
ОФИЦИАЛЬНОЕ ОПУБЛИКОВАНИЕ
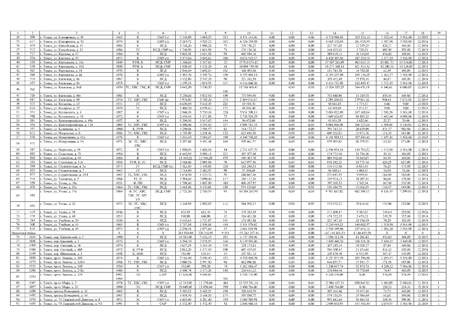
Приказ Департамента ЖКХ и государственного жилищного надзора Томской области от 26.11.2018 № 62
"О внесении изменения в приказ Департамента ЖКХ и государственного жилищного надзора Томской области от 12.12.2017 № 44"
Номер опубликования: 7001201811280003
Дата опубликования: 28.11.2018
Страница №10 из 73:
Увеличить