Официальное опубликование правовых актов
ОФИЦИАЛЬНОЕ ОПУБЛИКОВАНИЕ
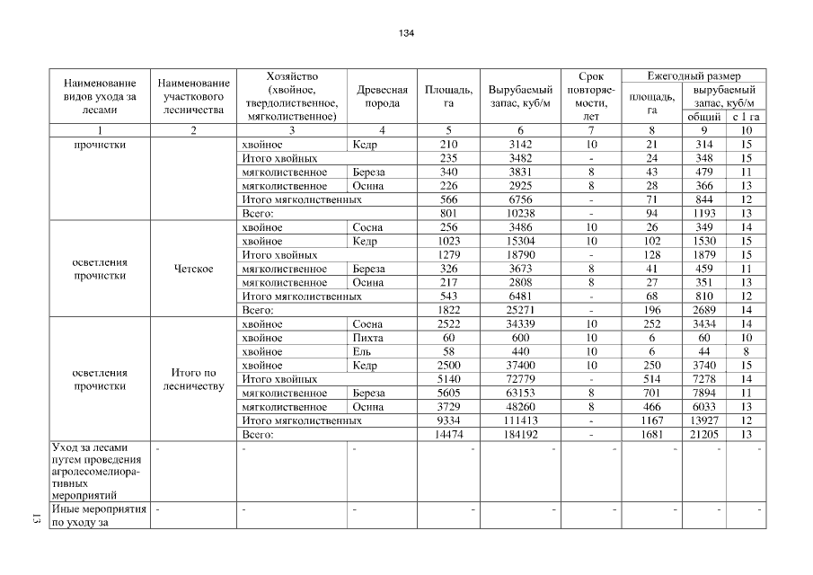
Приказ Департамента лесного хозяйства Томской области от 13.11.2018 № 52
"О внесении изменения в лесохозяйственный регламент Тегульдетского лесничества Томской области"
Номер опубликования: 7001201811150003
Дата опубликования: 15.11.2018
Страница №134 из 221:
Увеличить