Официальное опубликование правовых актов
ОФИЦИАЛЬНОЕ ОПУБЛИКОВАНИЕ
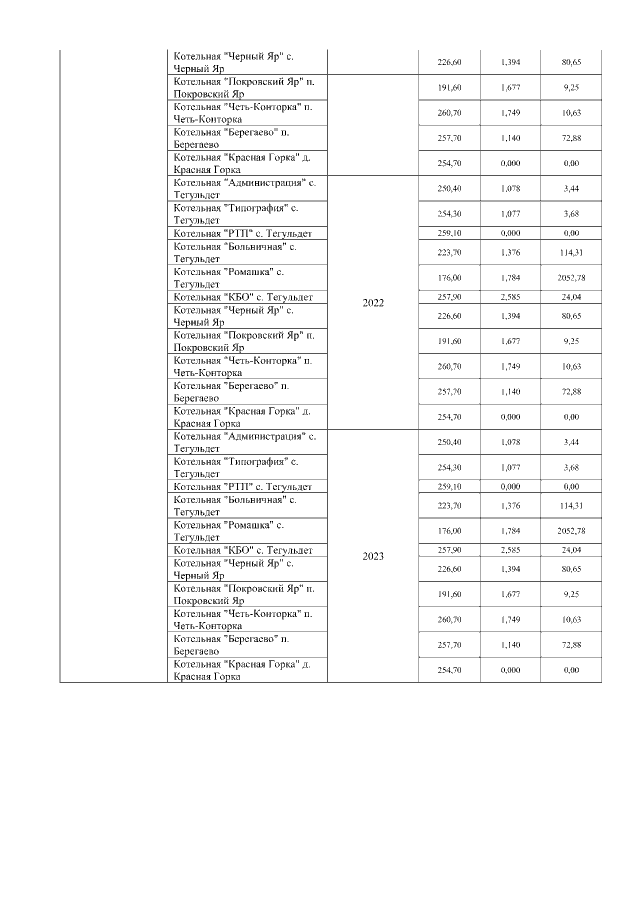
Приказ Департамента тарифного регулирования Томской области от 14.11.2018 № 1-326/9(285)
"Об установлении долгосрочных параметров регулирования и тарифов на тепловую энергию теплоснабжающей организации Муниципальное унитарное предприятие "Прогресс" (ИНН 7005016590) на 2019-2023 годы"
Номер опубликования: 7001201811150001
Дата опубликования: 15.11.2018
Страница №5 из 6:
Увеличить