Официальное опубликование правовых актов
ОФИЦИАЛЬНОЕ ОПУБЛИКОВАНИЕ
Постановление Администрации Томской области от 11.02.2026 № 46а
"О внесении изменений в постановление Администрации Томской области от 27.09.2019 № 358а"
Номер опубликования: 7000202602120001
Дата опубликования: 12.02.2026
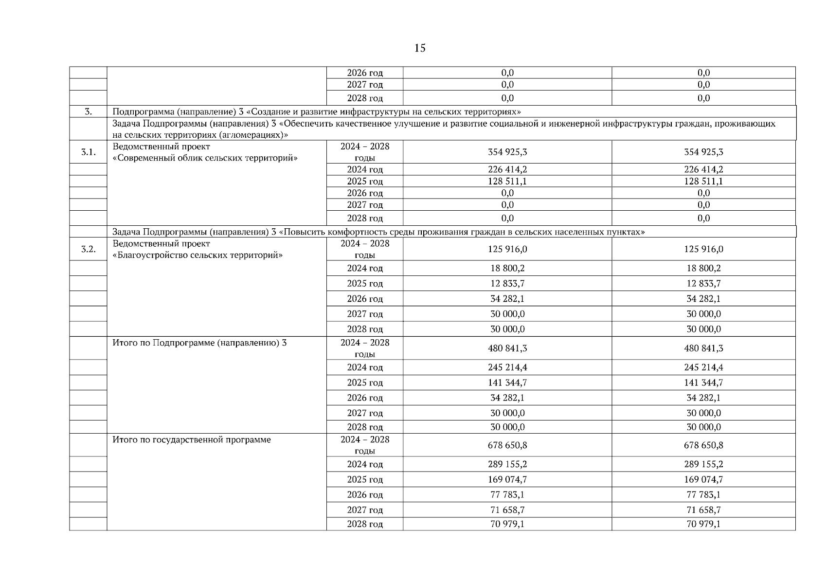
Страница №16 из 50:
Увеличить