Официальное опубликование правовых актов
ОФИЦИАЛЬНОЕ ОПУБЛИКОВАНИЕ
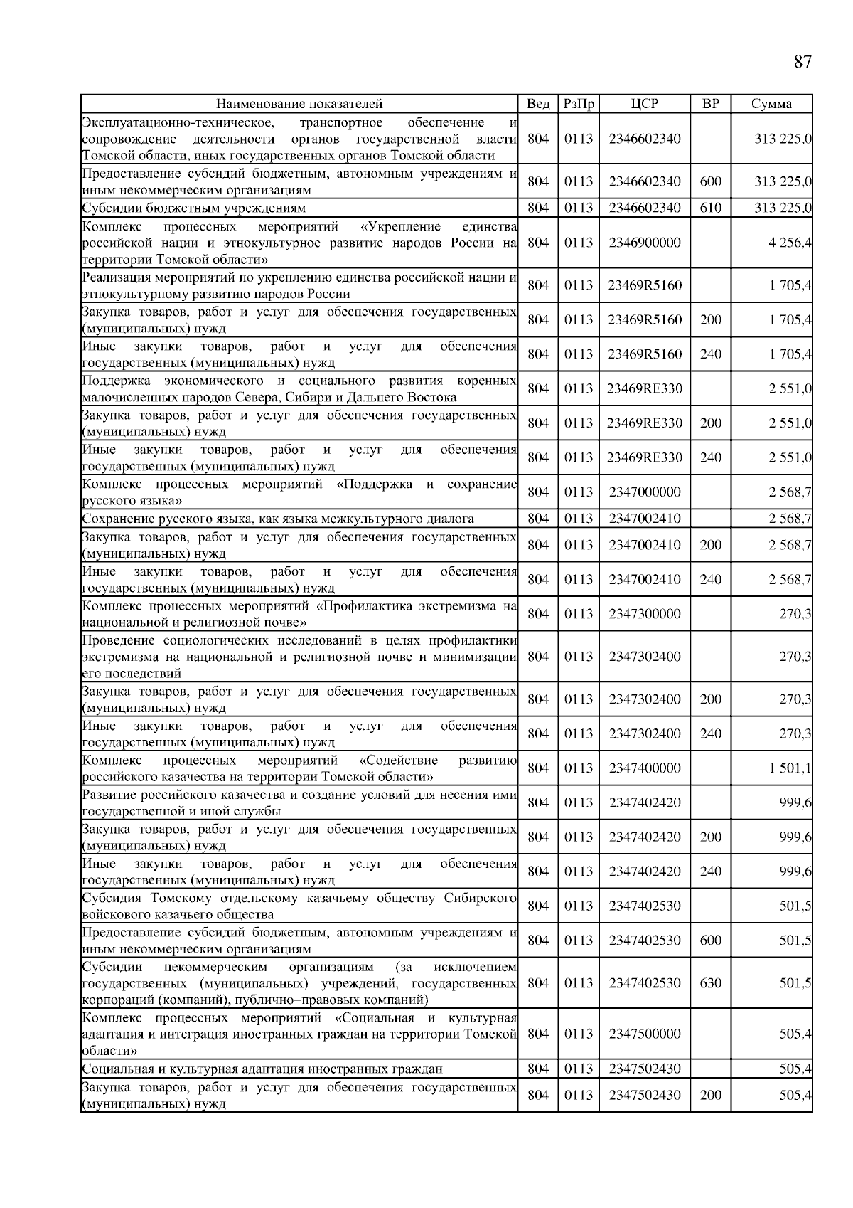
Закон Томской области от 07.03.2025 № 16-ОЗ
"О внесении изменений в Закон Томской области "Об областном бюджете на 2025 год и на плановый период 2026 и 2027 годов"
Номер опубликования: 7000202503110004
Дата опубликования: 11.03.2025
Страница №87 из 196:
Увеличить