Официальное опубликование правовых актов
ОФИЦИАЛЬНОЕ ОПУБЛИКОВАНИЕ
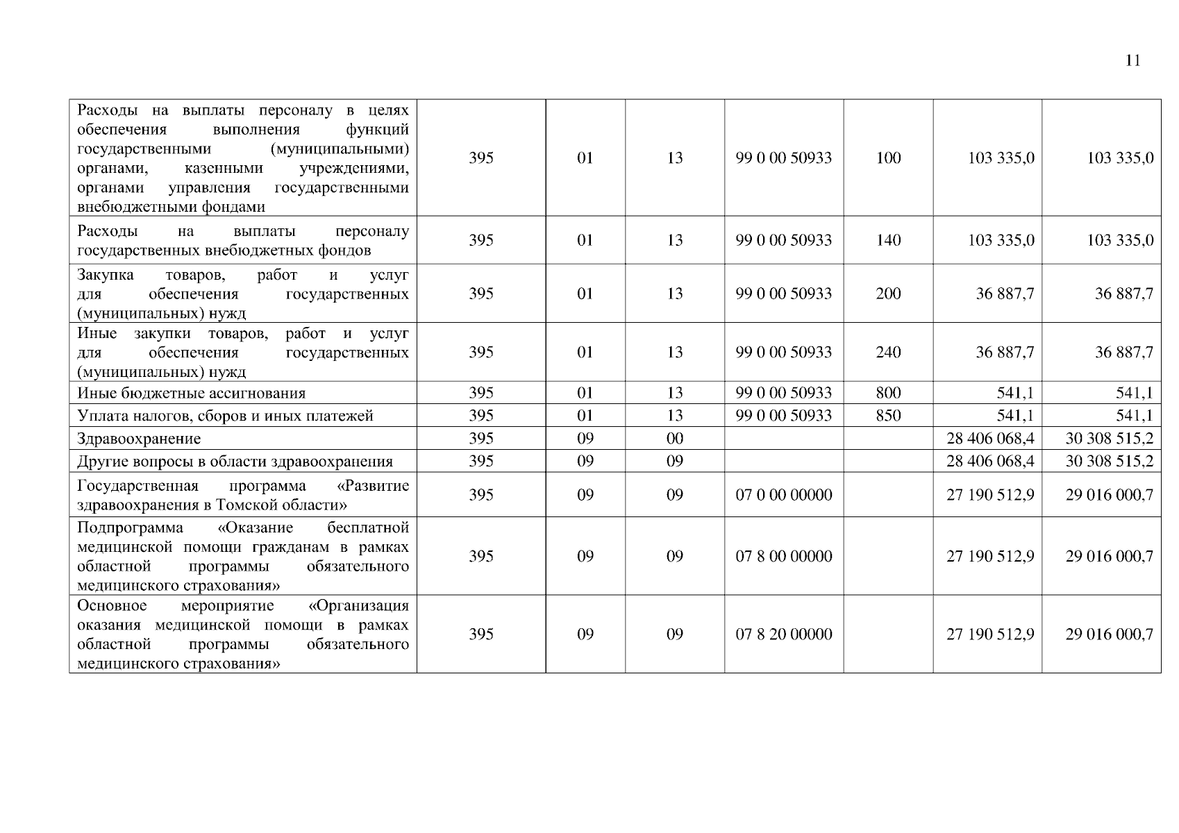
Закон Томской области от 11.06.2024 № 49-ОЗ
"О внесении изменений в Закон Томской области "О бюджете Территориального фонда обязательного медицинского страхования Томской области на 2024 год и на плановый период 2025 и 2026 годов"
Номер опубликования: 7000202406110001
Дата опубликования: 11.06.2024
Страница №11 из 15:
Увеличить