Официальное опубликование правовых актов
ОФИЦИАЛЬНОЕ ОПУБЛИКОВАНИЕ
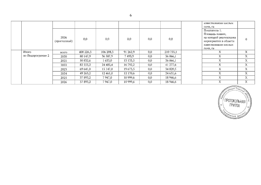
Постановление Администрации Томской области от 31.03.2023 № 155а
"О внесении изменений в постановление Администрации Томской области от 26.09.2019 № 338а"
Номер опубликования: 7000202304050011
Дата опубликования: 05.04.2023
Страница №196 из 260:
Увеличить