Официальное опубликование правовых актов
ОФИЦИАЛЬНОЕ ОПУБЛИКОВАНИЕ
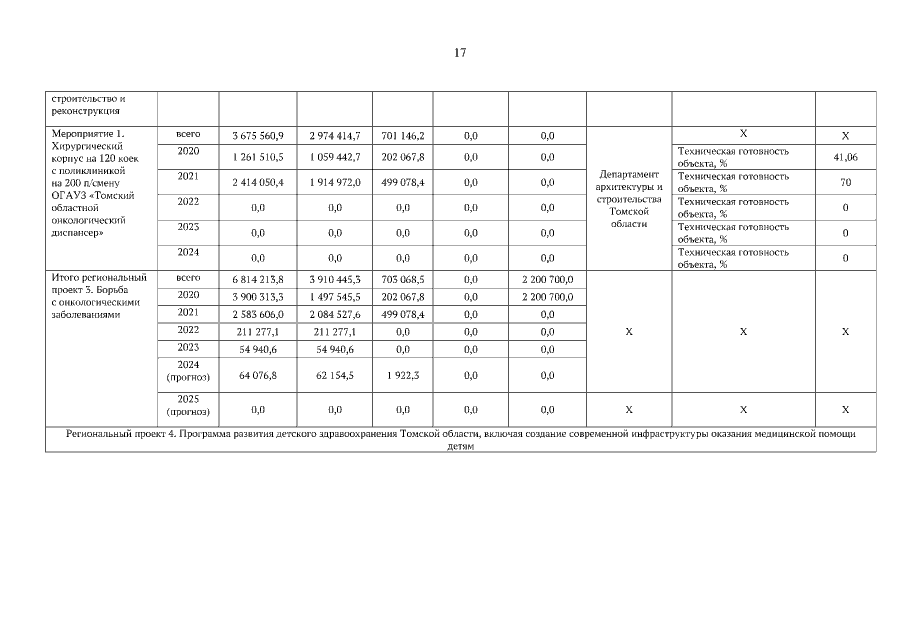
Постановление Администрации Томской области от 01.06.2022 № 232а
"О внесении изменений в постановление Администрации Томской области от 27.09.2019 № 353а"
Номер опубликования: 7000202206020005
Дата опубликования: 02.06.2022
Страница №244 из 266:
Увеличить