Официальное опубликование правовых актов
ОФИЦИАЛЬНОЕ ОПУБЛИКОВАНИЕ
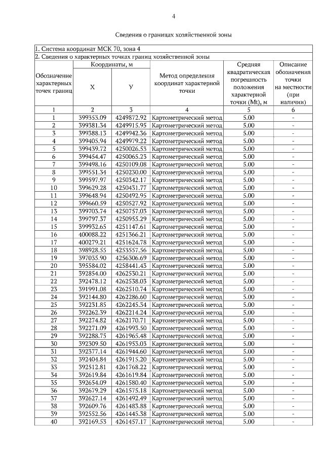
Постановление Администрации Томской области от 14.01.2022 № 8а
"О внесении изменений в постановление Администрации Томской области от 12.10.2011 № 315а"
Номер опубликования: 7000202201180005
Дата опубликования: 18.01.2022
Страница №6 из 35:
Увеличить