Официальное опубликование правовых актов
ОФИЦИАЛЬНОЕ ОПУБЛИКОВАНИЕ
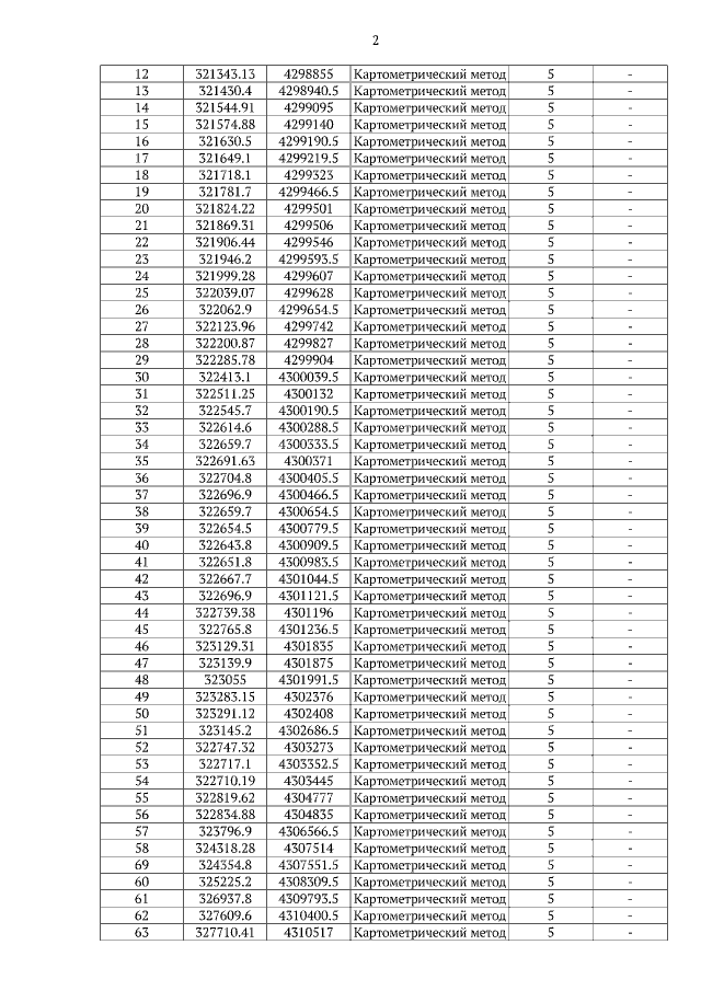
Постановление Администрации Томской области от 14.01.2022 № 10а
"О внесении изменений в постановление Администрации Томской области от 08.02.2007 № 16а"
Номер опубликования: 7000202201180003
Дата опубликования: 18.01.2022
Страница №90 из 131:
Увеличить