Официальное опубликование правовых актов
ОФИЦИАЛЬНОЕ ОПУБЛИКОВАНИЕ
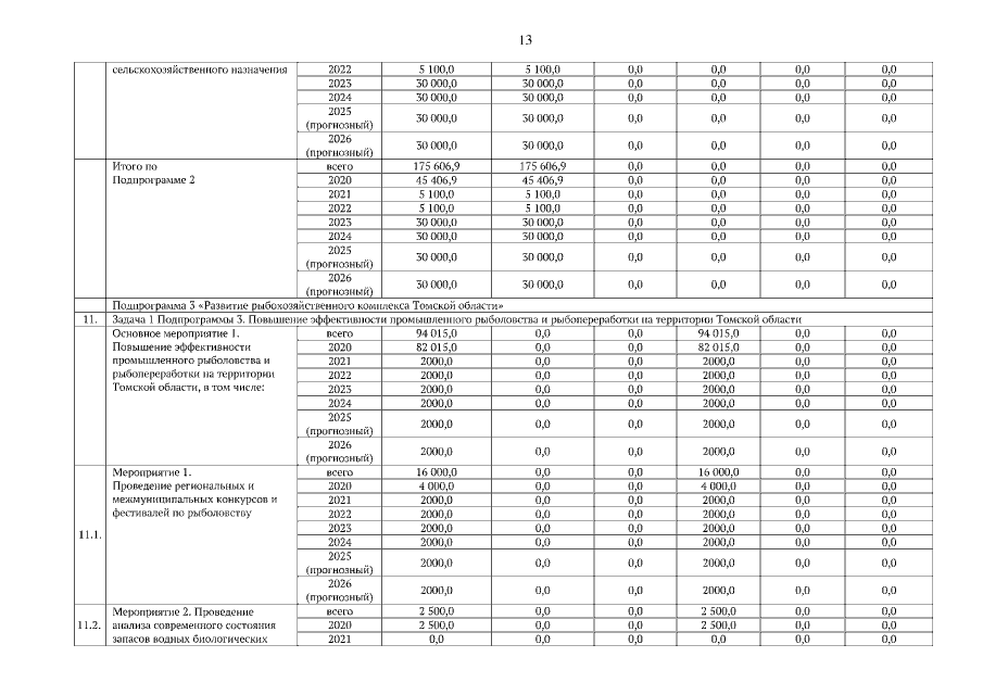
Постановление Администрации Томской области от 05.10.2020 № 483а
"О внесении изменений в постановление Администрации Томской области от 26.09.2019 № 338а"
Номер опубликования: 7000202010060003
Дата опубликования: 06.10.2020
Страница №17 из 169:
Увеличить