Официальное опубликование правовых актов
ОФИЦИАЛЬНОЕ ОПУБЛИКОВАНИЕ
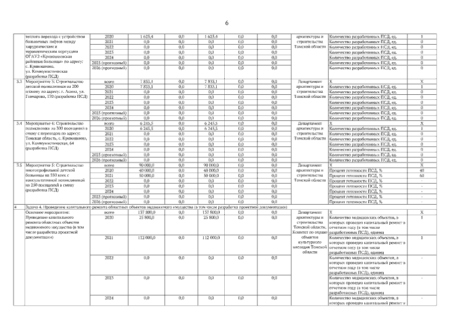
Постановление Администрации Томской области от 30.06.2020 № 300а
"О внесении изменений в постановление Администрации Томской области от 27.09.2019 № 353а"
Номер опубликования: 7000202007030006
Дата опубликования: 03.07.2020
Страница №40 из 51:
Увеличить