Официальное опубликование правовых актов
ОФИЦИАЛЬНОЕ ОПУБЛИКОВАНИЕ
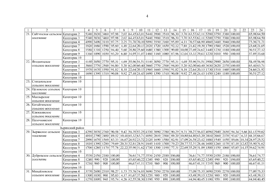
Постановление Администрации Томской области от 28.02.2020 № 93а
"О внесении изменений в постановление Администрации Томской области от 27.11.2014 № 439а"
Номер опубликования: 7000202003030001
Дата опубликования: 03.03.2020
Страница №31 из 61:
Увеличить