Официальное опубликование правовых актов
ОФИЦИАЛЬНОЕ ОПУБЛИКОВАНИЕ
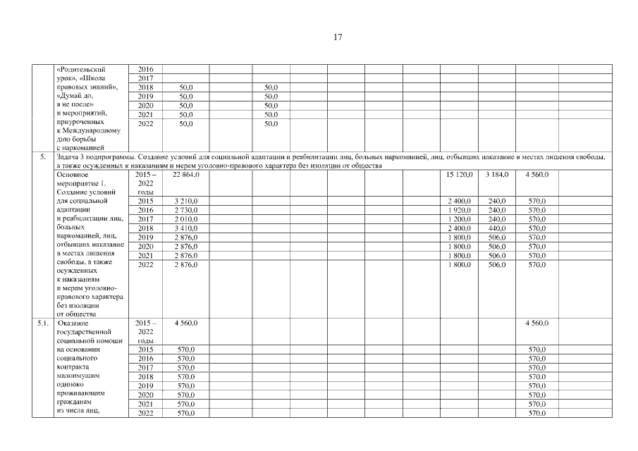
Постановление Администрации Томской области от 27.12.2019 № 503а
"О внесении изменений в постановление Администрации Томской области от 30.10.2014 № 411а"
Номер опубликования: 7000201912300036
Дата опубликования: 30.12.2019
Страница №22 из 30:
Увеличить