Официальное опубликование правовых актов
ОФИЦИАЛЬНОЕ ОПУБЛИКОВАНИЕ
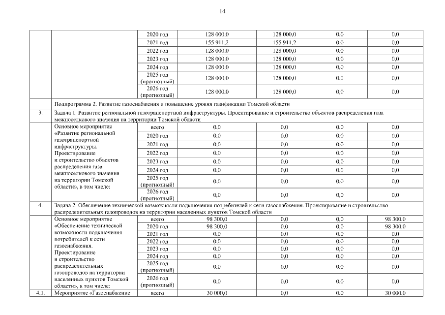
Постановление Администрации Томской области от 27.09.2019 № 346а
"Об утверждении государственной программы "Развитие коммунальной инфраструктуры в Томской области"
Номер опубликования: 7000201910040003
Дата опубликования: 04.10.2019
Страница №15 из 132:
Увеличить