Официальное опубликование правовых актов
ОФИЦИАЛЬНОЕ ОПУБЛИКОВАНИЕ
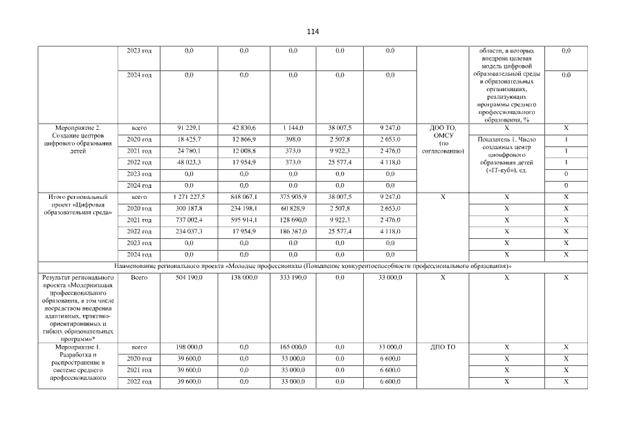
Постановление Администрации Томской области от 27.09.2019 № 342а
"Об утверждении государственной программы "Развитие образования в Томской области"
Номер опубликования: 7000201910030006
Дата опубликования: 03.10.2019
Страница №118 из 166:
Увеличить