Официальное опубликование правовых актов
ОФИЦИАЛЬНОЕ ОПУБЛИКОВАНИЕ
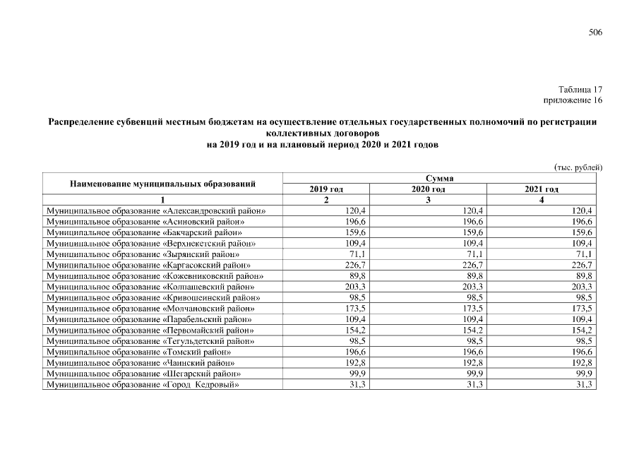
Закон Томской области от 29.12.2018 № 151-ОЗ
"Об областном бюджете на 2019 год и на плановый период 2020 и 2021 годов"
Номер опубликования: 7000201812290003
Дата опубликования: 29.12.2018
Страница №506 из 619:
Увеличить