Официальное опубликование правовых актов
ОФИЦИАЛЬНОЕ ОПУБЛИКОВАНИЕ
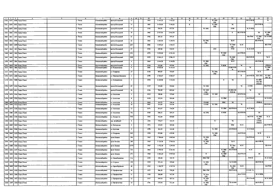
Постановление Администрации Томской области от 19.09.2017 № 334а
"О внесении изменений в постановление Администрации Томской области от 30.12.2013 № 597а"
Номер опубликования: 7000201709220004
Дата опубликования: 22.09.2017
Страница №44 из 164:
Увеличить