Официальное опубликование правовых актов
ОФИЦИАЛЬНОЕ ОПУБЛИКОВАНИЕ
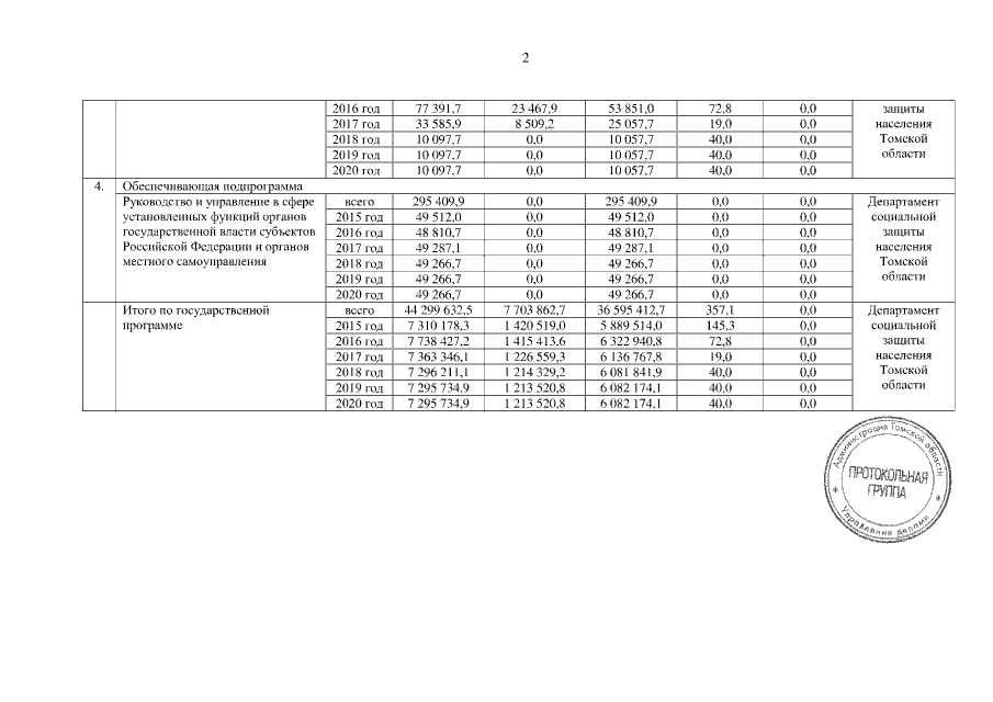
Постановление Администрации Томской области от 11.07.2017 № 265а
"О внесении изменений в постановление Администрации Томской области от 01.12.2014 № 447а"
Номер опубликования: 7000201707170001
Дата опубликования: 17.07.2017
Страница №17 из 17:
Увеличить