Официальное опубликование правовых актов
ОФИЦИАЛЬНОЕ ОПУБЛИКОВАНИЕ
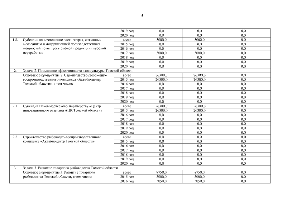
Постановление Администрации Томской области от 26.06.2017 № 239а
"О внесении изменений в постановление Администрации Томской области от 26.11.2014 № 432а"
Номер опубликования: 7000201706290006
Дата опубликования: 29.06.2017
Страница №11 из 45:
Увеличить