Официальное опубликование правовых актов
ОФИЦИАЛЬНОЕ ОПУБЛИКОВАНИЕ
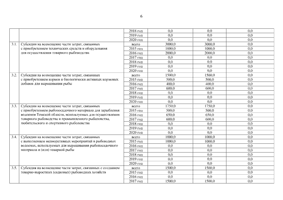
Постановление Администрации Томской области от 06.04.2017 № 131а
"О внесении изменений в постановление Администрации Томской области от 26.11.2014 № 432а"
Номер опубликования: 7000201704110005
Дата опубликования: 11.04.2017
Страница №23 из 74:
Увеличить