Официальное опубликование правовых актов
ОФИЦИАЛЬНОЕ ОПУБЛИКОВАНИЕ
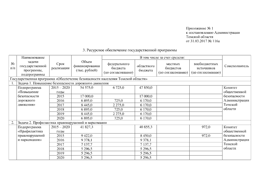
Постановление Администрации Томской области от 31.03.2017 № 116а
"О внесении изменений в постановление Администрации Томской области от 30.10.2014 № 411а"
Номер опубликования: 7000201704050002
Дата опубликования: 05.04.2017
Страница №9 из 32:
Увеличить