Официальное опубликование правовых актов
ОФИЦИАЛЬНОЕ ОПУБЛИКОВАНИЕ
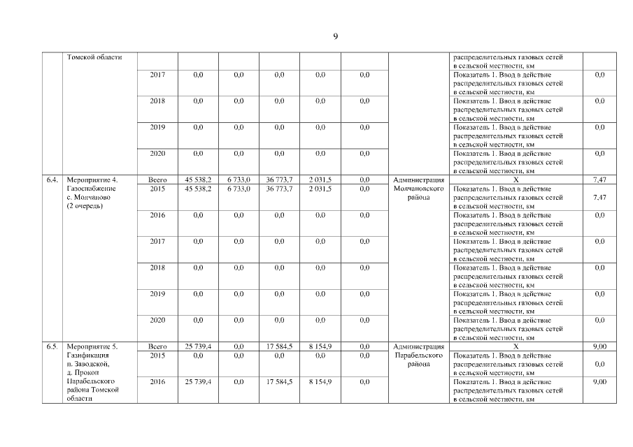
Постановление Администрации Томской области от 20.05.2016 № 175а
"О внесении изменений в постановление Администрации Томской области от 12.12.2014 № 485а"
Номер опубликования: 7000201605250001
Дата опубликования: 25.05.2016
Страница №107 из 130:
Увеличить