Официальное опубликование правовых актов
ОФИЦИАЛЬНОЕ ОПУБЛИКОВАНИЕ
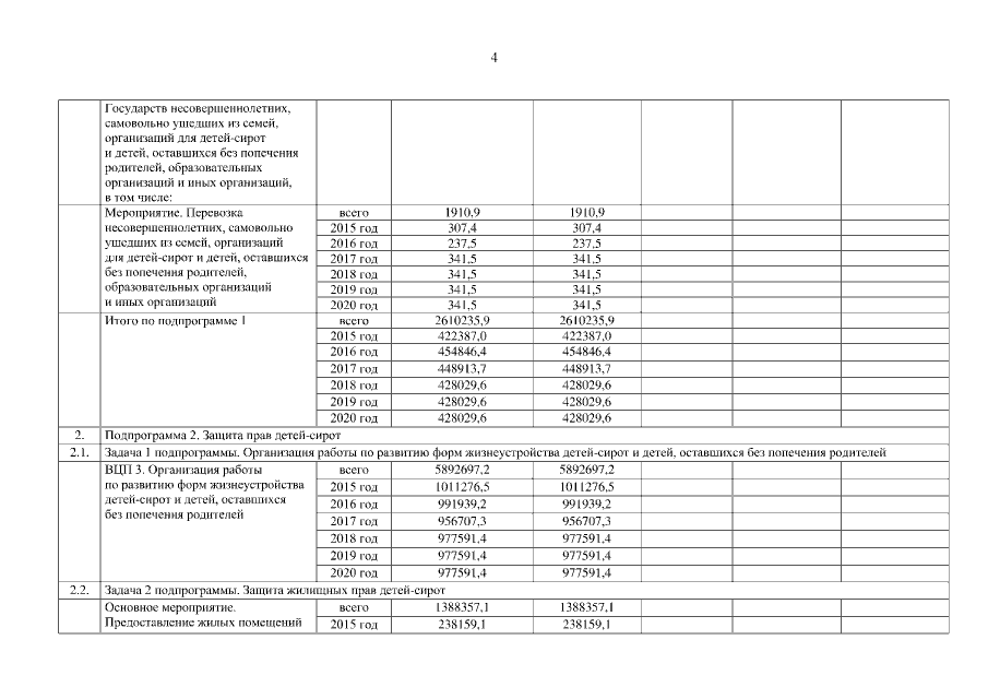
Постановление Администрации Томской области от 15.03.2016 № 71а
"О внесении изменений в постановление Администрации Томской области от 30.10.2014 № 412а"
Номер опубликования: 7000201603180004
Дата опубликования: 18.03.2016
Страница №10 из 43:
Увеличить