Официальное опубликование правовых актов
ОФИЦИАЛЬНОЕ ОПУБЛИКОВАНИЕ
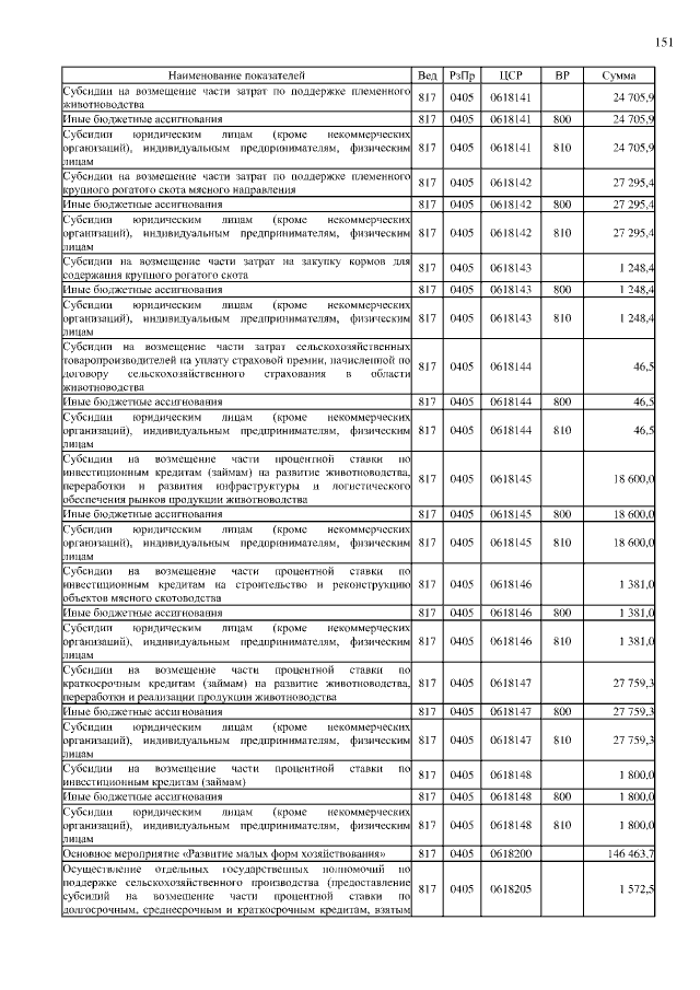
Закон Томской области от 15.12.2015 № 185-ОЗ
"О внесении изменений в Закон Томской области "Об областном бюджете на 2015 год и на плановый период 2016 и 2017 годов"
Номер опубликования: 7000201512160001
Дата опубликования: 16.12.2015
Страница №151 из 235:
Увеличить