Официальное опубликование правовых актов
ОФИЦИАЛЬНОЕ ОПУБЛИКОВАНИЕ
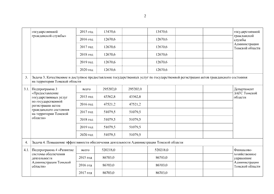
Постановление Администрации Томской области от 26.11.2015 № 430а
"О внесении изменений в постановление Администрации Томской области от 26.11.2014 № 431а"
Номер опубликования: 7000201511300002
Дата опубликования: 30.11.2015
Страница №8 из 28:
Увеличить