Официальное опубликование правовых актов
ОФИЦИАЛЬНОЕ ОПУБЛИКОВАНИЕ
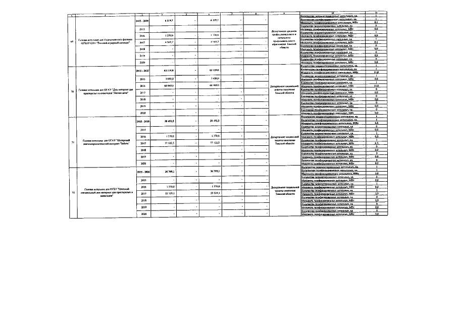
Постановление Администрации Томской области от 25.09.2015 № 342а
"О внесении изменений в постановление Администрации Томской области от 12.12.2014 № 493а"
Номер опубликования: 7000201509300002
Дата опубликования: 30.09.2015
Страница №55 из 63:
Увеличить