Официальное опубликование правовых актов
ОФИЦИАЛЬНОЕ ОПУБЛИКОВАНИЕ
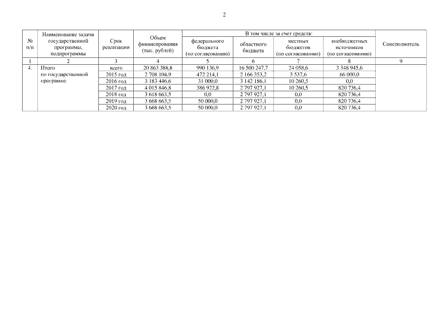
Постановление Администрации Томской области от 03.07.2015 № 251а
"О внесении изменений в постановление Администрации Томской области от 12.12.2014 № 484а"
Номер опубликования: 7000201507070002
Дата опубликования: 07.07.2015
Страница №11 из 74:
Увеличить