Официальное опубликование правовых актов
ОФИЦИАЛЬНОЕ ОПУБЛИКОВАНИЕ
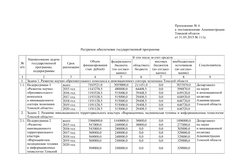
Постановление Администрации Томской области от 31.03.2015 № 111а
"О внесении изменений в постановление Администрации Томской области от 30.10.2014 № 414а"
Номер опубликования: 7000201504030008
Дата опубликования: 03.04.2015
Страница №20 из 94:
Увеличить