Официальное опубликование правовых актов
ОФИЦИАЛЬНОЕ ОПУБЛИКОВАНИЕ
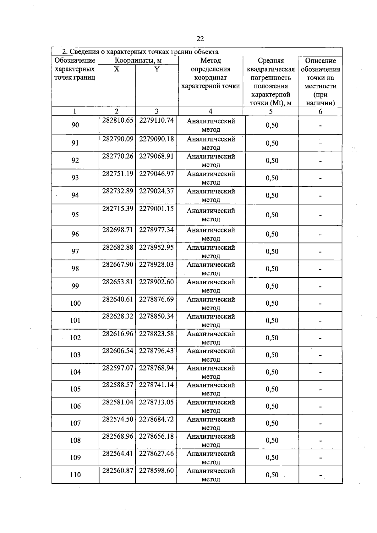
Приказ Министерства природных ресурсов и экологии Тверской области от 08.12.2025 № 41-нп
"Об установлении зоны санитарной охраны"
(Зарегистрирован 09.12.2025 № 4752507)
Номер опубликования: 6901202512100005
Дата опубликования: 10.12.2025
Страница №22 из 27:
Увеличить