Приказ Главного управления по государственной охране объектов культурного наследия Тверской области от 08.12.2025 № 256-нп
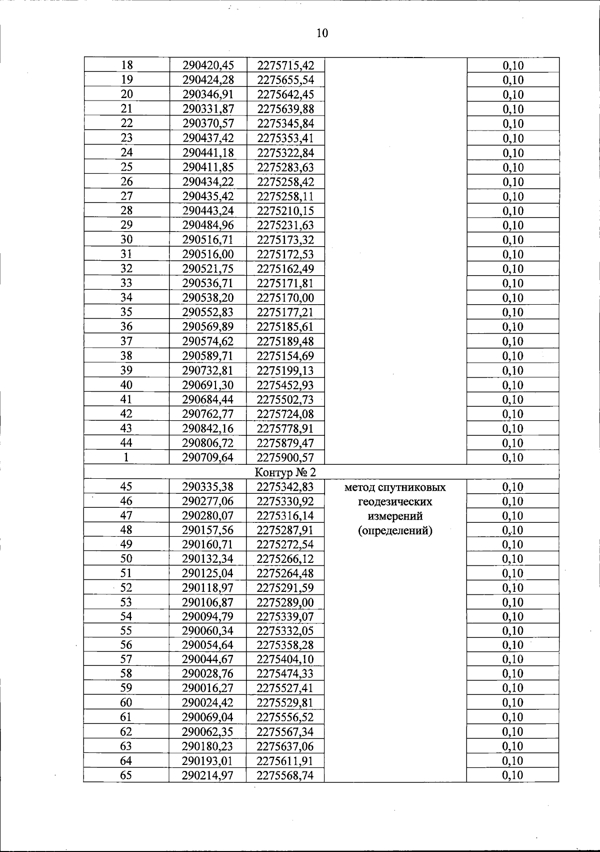
"Об утверждении границ территории объекта культурного наследия регионального значения (ансамбль) "Парковый ансамбль Тверского Загородного Архиерейского дома в Трехсвятском (Трехсвятского мужского монастыря) – резиденции архиепископов Тверских и Кашинских", XVIII – 1-я пол. XIX в.в., сер. XX в., расположенного по адресу: Тверская область, город Тверь, правый берег р. Тьмаки, к югу и северу от проезда Дарвина, между улицей Тимирязева (Архиерейской слободкой) и трамвайным парком"
(Зарегистрирован 09.12.2025 № 4712527)
"Об утверждении границ территории объекта культурного наследия регионального значения (ансамбль) "Парковый ансамбль Тверского Загородного Архиерейского дома в Трехсвятском (Трехсвятского мужского монастыря) – резиденции архиепископов Тверских и Кашинских", XVIII – 1-я пол. XIX в.в., сер. XX в., расположенного по адресу: Тверская область, город Тверь, правый берег р. Тьмаки, к югу и северу от проезда Дарвина, между улицей Тимирязева (Архиерейской слободкой) и трамвайным парком"
(Зарегистрирован 09.12.2025 № 4712527)
Номер опубликования: 6901202512100001
Дата опубликования:
10.12.2025
