Официальное опубликование правовых актов
ОФИЦИАЛЬНОЕ ОПУБЛИКОВАНИЕ
Приказ Министерства природных ресурсов и экологии Тверской области от 16.09.2025 № 31-нп
"Об установлении зоны санитарной охраны"
(Зарегистрирован 17.09.2025 № 2812507)
Номер опубликования: 6901202509180001
Дата опубликования: 18.09.2025
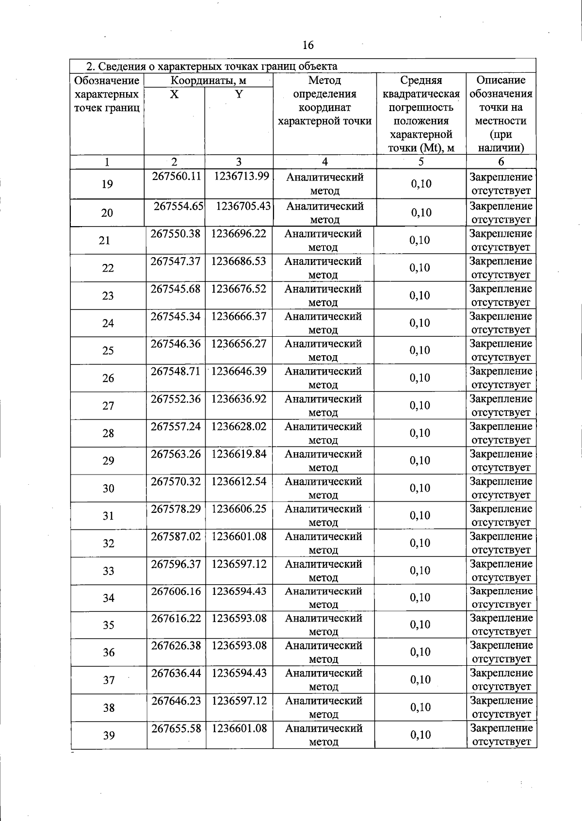
Страница №16 из 18:
Увеличить