Официальное опубликование правовых актов
ОФИЦИАЛЬНОЕ ОПУБЛИКОВАНИЕ
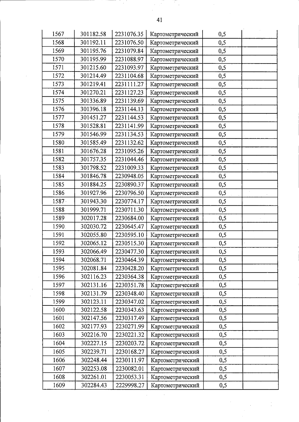
Приказ Министерства природных ресурсов и экологии Тверской области от 11.09.2025 № 29-нп
"Об установлении местоположения части береговой линии"
(Зарегистрирован 12.09.2025 № 2782507)
Номер опубликования: 6901202509120001
Дата опубликования: 12.09.2025
Страница №41 из 96:
Увеличить