Официальное опубликование правовых актов
ОФИЦИАЛЬНОЕ ОПУБЛИКОВАНИЕ
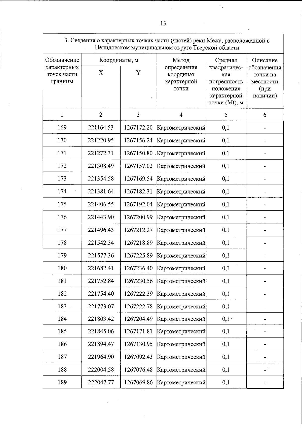
Приказ Министерства природных ресурсов и экологии Тверской области от 12.08.2025 № 27-нп
"Об установлении местоположения части береговой линии"
(Зарегистрирован 13.08.2025 № 2402507)
Номер опубликования: 6901202508140004
Дата опубликования: 14.08.2025
Страница №13 из 34:
Увеличить