Официальное опубликование правовых актов
ОФИЦИАЛЬНОЕ ОПУБЛИКОВАНИЕ
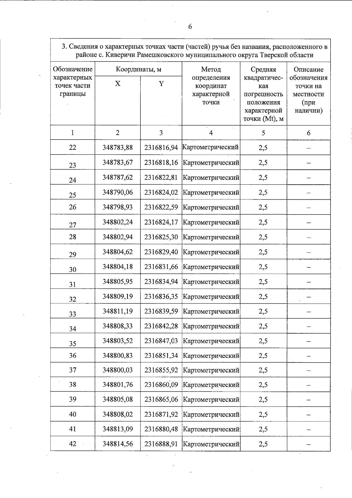
Приказ Министерства природных ресурсов и экологии Тверской области от 12.08.2025 № 25-нп
"Об установлении местоположения части береговой линии"
(Зарегистрирован 13.08.2025 № 2382507)
Номер опубликования: 6901202508140002
Дата опубликования: 14.08.2025
Страница №6 из 36:
Увеличить