Официальное опубликование правовых актов
ОФИЦИАЛЬНОЕ ОПУБЛИКОВАНИЕ
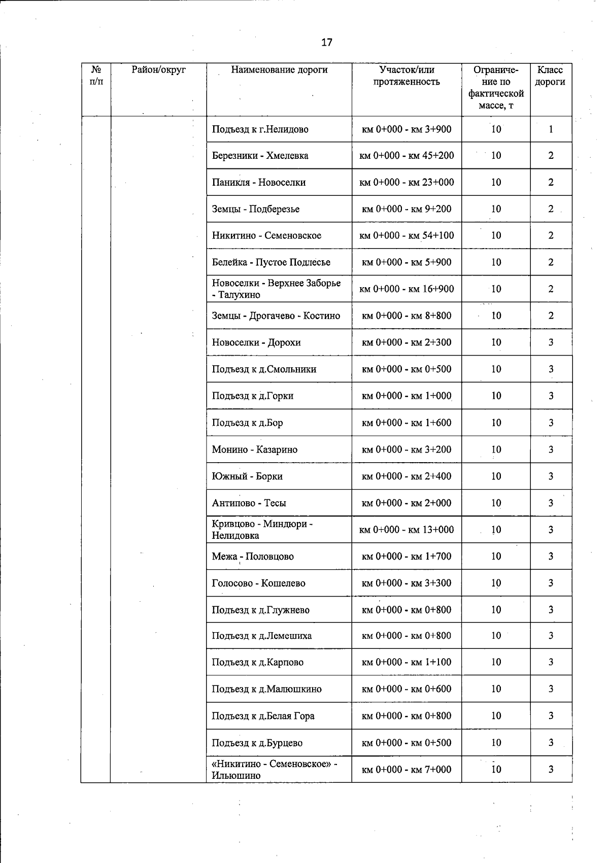
Приказ Министерства транспорта Тверской области от 31.03.2025 № 252-нп
"О введении временного ограничения движения транспортных средств в период возникновения неблагоприятных природно-климатических условий, в целях предотвращения снижения несущей способности конструктивных элементов автомобильных дорог или их участков"
(Зарегистрирован 31.03.2025 № 1062515)
Номер опубликования: 6901202503310001
Дата опубликования: 31.03.2025
Страница №17 из 30:
Увеличить