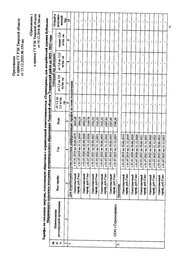
Приказ Главного управления "Региональная энергетическая комиссия" Тверской области от 15.12.2020 № 359-нп
"О внесении изменений в приказ ГУ РЭК Тверской области от 19.12.2018 № 366-нп"
"О внесении изменений в приказ ГУ РЭК Тверской области от 19.12.2018 № 366-нп"
Номер опубликования: 6901202012150052
Дата опубликования:
15.12.2020
